November 13, 2025
Paper accepted | Journal of Applied Crystallography
Journal of Applied Crystallography DOI: https://doi.org/10.1107/S1600576725008349
September 5, 2024
Paper accepted | JCTC
Contact-Map-Driven Exploration of Heterogeneous Protein-Folding Paths We demonstrate that our Contact-Map-Driven framework for generating folding trajectories developed with…
July 1, 2024
Paper accepted | Int. J. Pharm
Unravelling the interactions between small molecules and liposomal bilayers via molecular dynamics and thermodynamic modelling This work reports a joint computational and…
February 7, 2024
PhD Studentship now available! A Drug Delivery Challenge: Cracking the Code of Mass Transport in Disordered Systems
A PhD Studentship (to start in October 2024) is now available at Warwick Uni – jointly supervised by Gabriele and James (Sprittles, Maths Department). This project focuses on drug delivery and…
September 25, 2023
Paper accepted | Journal of Chemical Physics
Combining machine learning and molecular simulations to predict the stability of amorphous drugs This work leverages the outcomes of molecular dynamics simulations to build…
July 31, 2023
Paper accepted | Faraday Discussions
Understanding the impact of ammonium ion substitutions on heterogeneous ice nucleation Experimental work has found that when ice nucleates on feldspar (a mineral dust…
July 20, 2023
The Big Bang Fair – 2023
We have done quite a lot in terms of Outreach, this year, but nothing comes even remotely close to the Big Bang Fair. In a nutshell, this is a massive event aimed at inspiring young people about…
June 12, 2023
Paper accepted | Journal of Chemical Physics
Interplay of multiple clusters and initial interface positioning for forward flux sampling simulations of crystal nucleation Forward flux sampling is a widely used enhanced…
April 11, 2023
Paper accepted | Journal of Chemical Information and Modeling
Generating protein folding trajectories Using contact-map-driven directed walks With the advent of AlphaFold, predicting the folded structure of any given protein has become…
March 22, 2023
Crystallisation Day
With the new year, we wanted to put together an Outreach activity that would expose school kids to something a bit different from the conventional concept of Chemistry – i.e. a bunch of people…
January 17, 2023
Paper accepted | Nature Communications
Understanding the emergence of the boson peak in molecular glasses The boson peak is a fundamental, very unique feature of glassy materials. As such, people have been arguing…
November 21, 2022
Paper accepted | Molecular Systems Design and Engineering
Leveraging genetic algorithms to maximise the predictive capabilities of the SOAP descriptor In this collaboration with AstraZeneca, James Darby in Cambridge, and Warwick’s…
July 6, 2022
We are back – with a bang!
Perhaps unsurprisingly, not much happened in terms of outreach during the (worst of the) COVID-19 pandemic. However, early this year, "an interesting opportunity presented itself" ;) in that I…
June 30, 2022
Paper accepted | Chemical Communications
Minimalistic ice recrystallisation inhibitors based on phenylalanine The second instalment of our work amino acids, this paper introduces phenylalanine as a minimalistic, yet potent,…
June 30, 2022
Recipients of a Horizon Prize!
Congratulations this week to “Team Ice” – a multidisciplinary collaboration with industry led by scientists here at Warwick including myself, Rebecca Notman, Matthew Gibson and Tom…
May 31, 2022
Fabienne and Matt win awards at PGR symposium!
Congratulations this week go to Fabienne and Matt, both PhD student in the group, for winning awards at the 11th annual postgraduate symposium for chemistry at Warwick. Matt won first prize…
April 25, 2022
Paper accepted | Chemical Science
The role of structural order in heterogeneous ice nucleation It took some six years for this paper to eventually see the light of day – but it was worth it. Titled: “The…
March 11, 2022
7 Deadly Sins Paper Chosen for Inclusion in JCP 2021 Editor’s Choice Collection
Last July, we published a paper about a number of the pitfalls present when trying to compute crystal nucleation rates. We are delighted to have heard that it has been selected for inclusion in…
March 11, 2022
Paper accepted | Nanoscale
How do interfaces alter the dynamics of supercooled water? It was somewhere in Switzerland (some 10 years ago?), during a conference featuring excellent food, loads of snow, some…
March 11, 2022
Paper accepted | The Journal of Physical Chemistry Letters
Ice Recrystallization Inhibition by Amino Acids: The Curious Case of Alpha- and Beta-Alanine In this work, we report the discovery that the amino acid alpha-alanine – a natural building…
March 8, 2022
Paper accepted | Physical Chemistry Chemical Physics
Lipid Bilayers as Potential Ice Nucleating Agents This paper is about whether cellular membranes could be responsible for facilitating the ice nucleation process, and what characteristics…
December 14, 2021
PhD Studentship now available! Harnessing Molecular Simulations to advance Photovoltaics: design rules for the selective deposition of metals
A PhD Studentship (to start in October 2022) is now available via the HETSYS Centre for Doctoral Training at Warwick Uni – and it’s all about improving on the current technologies to…
December 13, 2021
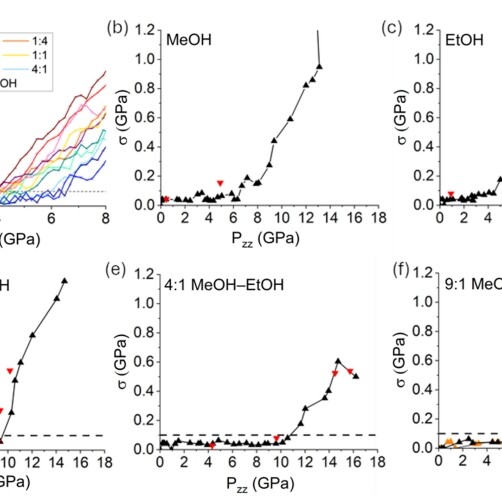
Paper published | Journal of Applied Crystallography
Recovering local structure information from high-pressure total scattering experiments This work is all about disordered phases at very high pressures. Specifically, a dream team of…
July 22, 2021
Paper published | Journal of Chemical Physics
The seven deadly sins: When computing crystal nucleation rates, the devil is in the details In this paper (chosen as an “Editor’s Pick”), we discuss the many different pitfalls…
July 14, 2021
Understanding Ice Formation in Plants – Postdoc position now available!
We are looking for a Postdoctoral Research Fellow to join the research group and work with us on a BBSRC-funded project, titled: “Understanding Ice Formation in Plants: finding new routes to freezing…
May 25, 2021
Paper published | Nature Communications
A Minimalistic Cyclic Ice-binding Peptide from Phage Display In this collaboration with EPFL, Switzerland and the Gibson group here at Warwick, billions of potential ice-binding peptides were…
May 25, 2021
Paper published | Physical Review Letters
Microscopic Kinetics Pathway of Salt Crystallization in Graphene Nanocapillaries The humble NaCl crystals strike again! Some impressive microscopy (and some simulations as well – of…
March 15, 2021
Paper published | Nature Communications
Solving the Puzzle of Polymers Binding to Ice for Cryopreservation Up to now, the ice community has been working under the assumption that short polymers do not bind strongly enough to the ice…
January 18, 2021
Paper accepted | MSMSE
Modelling the Interactions of Nitric Oxide in Amorphous Silicon Dioxide This work has been led by the group of Alex Shluger at UCL Physics. We have helped by quantifying the extent of the…
November 20, 2020
ARCHER2 | Ready, Steady…
Access to HPC || ARCHER2 As we all know, ARCHER was great. Believe it or not, ARCHER2 is going to be even better, with more than 700,000 cores for us hungry computational people to dig…
May 5, 2020
Paper accepted | Nature Communications
Combining High-resolution Scanning Tunnelling Microscopy and First-principles Simulations to Identify Halogen Bonding This one took about two years! A collaborative work led by the Costantini…
March 20, 2020
Fabienne wins award in STEM for Britain poster competition!
Congratulations this week go to Fabienne, a PhD student in the group, who won an award in the STEM for Britain poster competition hosted at the House of Commons in Westminster. The prestigious…
March 13, 2020
Paper accepted | Journal of Physical Chemistry B
Insights into the Emerging Networks of Voids in Simulated Supercooled Water Another outcome of our collaboration with the group of Dr. Ali Hassanali (ICTP Trieste, IT)! This time, we have been…
February 21, 2020
Science Gala 2020
Last week the group returned to the evening extravaganza that is the annual Science Gala, hoping to amaze and inspire the next generation of scientists (while gaining the approval of their…
November 22, 2019
Paper accepted | Journal of Physics D: Applied Physics
Atomistic simulations of thermal conductivity in GeTe nanowires Yet another exploit for the machine learning-based interatomic potential we have developed in 2012 for the phase change…
November 8, 2019
Paper accepted | Molecular Systems Design & Engineering
Less may be more: an informed reflection on molecular descriptors for drug design and discovery From great power… This is the very first paper from the SossoGroup! Harry, Steven and Trent…
November 8, 2019
PhD Studentship now available! It’s all in the Structure: Transforming drug design by bringing together molecular simulations and machine learning
A PhD Studentship (to start in October 2020) is now available via the HETSYS Centre for Doctoral Training at Warwick Uni. Jointly supervised by myself and Dr. Anders Broo (AstraZeneca plt.), the…
November 1, 2019
Paper Published | MRS Bulletin
Harnessing Machine Learning Potentials to Understand the Functional Properties of Phase-Change Materials Taking stock and looking ahead At the very beginning of my PhD (2009, I believe?!) I…
July 31, 2019
Paper accepted | Nature Methods
Promoting transparency and reproducibility in enhanced molecular simulations That’s one small step… Alright, hold your horses. My contribution to this ginormous (the words you learn…
April 4, 2019
CMS 2019 – What a blast!
Eventually, it happened! The 6th Computational Molecular Science (a.k.a. CMS) took place just a week ago here at Warwick Uni, featuring five sessions from biomolecular simulations to machine…
February 5, 2019
PhD Studentship now available! A Game of Order Parameters – Calculating the Uncertainty of Crystal Nucleation Rates
A PhD Studentship (to start in October 2019) is now available via the HETSYS Centre for Doctoral Training at Warwick Uni. Jointly supervised by myself and Dr. David Quigley (Warwick Physics), the…
January 31, 2019
Paper accepted | PNAS
Ice is Born in Low-mobility Regions of Supercooled Liquid Water Dynamics matters! I really am quite proud of this work. It all started - it's a long story, you have time... - somewhere in…
January 31, 2019
Science Gala 2019
An evening extravaganza... This event is just great - kids (and parents!) all over the place, having a good go at everything thrown at them - from non-Newtonian fluids to diamond. Obviously, I…
December 20, 2018
Xmas Lecture 2018
Take a closer look... Oh wow! In all fairness, I did not realise - earlier in September... - that this public lecture would have been atteneded by about 1000 souls. What I did know is that…
December 15, 2018
Paper accepted | The Journal of Chemical Physics
High and Low Density Patches in Simulated Liquid Water It's all in the void! Time ago we looked at density fluctuations in liquid water, particularly the formation of…
December 1, 2018
Group’s getting bigger!
Getting ready for a rather busy 2019... The more the merrier! Despite the not exactly sunny day (we did what we could!), spirits are high indeed. Following a few recent additions, the Group can…
November 15, 2018
Paper accepted | Faraday Discussions
Priming Effects in the Crystallization of the Phase Change Compound GeTe from Atomistic Simulations Yet another piece of the puzzle... My first paper about the crystallization of GeTe dates back…
October 21, 2018
CMS 2019 – It’s here!!!
It's here!!! Gabriele and Reinhard have been organising the (6th!) Computational Molecular Science (CMS for friends) 2019. This scientific meeting will be held in campus (i.e., at the University of…
August 29, 2018
Paper accepted | Chemical Science
Unravelling the Origins of Ice Nucleation on Organic Crystals Bringing together experiments and simulations to understand the formation of ice I am really quite proud of this paper. For one thing, it…
August 20, 2018
Faces of HPC
It feels good to be a part of something. It feels even better when said something is called "Faces of HPC" - that is, an EPCC initiative to celebrate diversity in the High Performance Computing…
June 28, 2018
Paper accepted | The Journal of Chemical Physics
Heterogeneous seeded molecular dynamics as a tool to probe the ice nucleating ability of crystalline surfaces Extending the scope of a quite successful enhanced sampling(-ish...) technique to…
June 21, 2018
PhD Studentship on Machine Learning for Materials Science now available! Make your Move!
A fully funded (4-year) PhD Studentship on Machine Learning for Materials Science is now available at SossoGroup, led jointly with James Kermode (Warwick Engineering). The (non-negotiable!) starting…
May 17, 2018
Artificial Intelligence in Medicines Discovery Workshop
Gabriele has been invited to take part in a genuinely exciting workshop titled "Artificial Intelligence in Medicines Discovery Workshop" held at the Alderley Park Conference Centre (nice spot...) on…
April 22, 2018
Workshop: Impact of International Research Software Collaboration
Research, particularly research which relies on software, thrives on collaboration. This event, which will take place in Manchester at the Museum of Science and Industry on April 24th, will bring…
April 10, 2018
Pint of Science 2018
Pint of Science is a non-profit organisation that brings some of the most brilliant scientists (hey, their words...) to your local pub to discuss their latest research and findings with you. You…
March 14, 2018
Paper accepted | Molecular Simulation
Understanding the thermal properties of amorphous solids using machine-learning-based interatomic potentials There is much to be done in the field of disordered systems, and machine learning has to…
March 10, 2018
WICS Conference 2018
WICS is a conference (organised and run by Warwick ChemSoc) aimed at encouraging sixth formers to explore the sciences. The event ultimately aims to help students decide whether further study in a…
January 20, 2018
Warwick Science Gala 2018
The Science Gala will be an evening extravaganza highlighting inspiring careers and exciting science.
January 17, 2018
Paper accepted | Nature Communication
Pre-critical fluctuations and what they disclose about heterogeneous crystal nucleation A computational journey into the earliest stages of crystal nucleation and growth... One of the central…
October 30, 2017
Paper accepted | The Journal of Chemical Physics
Truncated non-bonded potentials can yield unphysical behavior in molecular dynamics simulations of interfaces (A Tricky issue with...) Molecular Dynamics Simulations of Interfaces This work is about…
October 1, 2017
Join DImEnsION @ Warwick – PhD Studentships and PostDoctoral Fellowships available
We are currently looking for outstanding candidates to join DImEnsION @ Warwick. A number of opportunities are available in terms of both: PhD Studentships PostDoctoral Fellowships Have a look at…
September 22, 2017
… and off they go!
As of September 2017, the Sosso Group - DImEnsION at Warwick comes to life!
Headquartered in the rather sleek G Block of the Department of Chemistry**
Read More






































































